1. Quelle Ces courroies d'entraînement?
Que sont les courroies d'entraînement ? En résumé, les courroies de transmission sont des éléments clés pour la transmission de puissance via un système de poulies, largement utilisé dans les machines et les systèmes industriels. Ce type de transmission utilise des matériaux élastiques pour transmettre la puissance par friction ou par engrenage. Elles sont généralement utilisées dans les systèmes mécaniques transmettant une puissance faible à moyenne, tels que les automobiles, les appareils électroménagers et les équipements industriels.
D'un point de vue technique, les courroies de transmission sont un élément essentiel des équipements mécaniques modernes. Elles offrent une solution de transmission de puissance flexible et contribuent à améliorer l'efficacité de la production. De plus en plus importantes, les courroies de transmission sont utilisées dans de nombreux secteurs industriels, démontrant leur grande valeur, qu'il s'agisse de machines industrielles de grande taille ou d'équipements de précision.
Les avantages:
Rentable: Les courroies de transmission sont largement utilisées, notamment en raison de leur faible coût. Selon les statistiques, les entreprises qui les utilisent comme principal mode de transmission dans leurs systèmes d'entraînement industriels peuvent économiser environ 20 % sur leurs coûts d'équipement initiaux. Elles constituent donc un choix extrêmement économique pour les équipements à longue durée de vie.
Moins de bruit: Les courroies de transmission sont plus silencieuses que d'autres types de transmissions, comme les chaînes. Ce faible niveau sonore est particulièrement important dans les secteurs où le bruit est un facteur critique, notamment dans l'industrie textile et agroalimentaire.
Absorption d'énergie élevée : Les courroies de transmission sont conçues pour absorber efficacement l'énergie en fonctionnement, réduisant ainsi les chocs dans les systèmes mécaniques. Cette caractéristique contribue à prolonger la durée de vie des équipements. Selon les données de maintenance, les systèmes utilisant des courroies de transmission présentent une durée de vie moyenne supérieure de 10 % à celle des autres types de transmission.
Facilité d'entretien: Les courroies de transmission sont plus faciles à entretenir que les systèmes à chaîne ou à engrenages. Un simple réglage de la tension et une vérification régulière de l'usure garantissent un fonctionnement stable et durable.
Inconvénients :
Phénomène de glissement : Les courroies de transmission transmettant principalement la puissance par friction, un phénomène de glissement peut se produire sous forte charge ou en cas de couple élevé, entraînant une diminution du rendement de la transmission. Ce problème ne peut être négligé lorsque des entraînements de haute précision sont requis.
Durée de vie limitée : Bien que le entretien des courroies d'entraînement Bien que relativement simples, leur durée de vie reste limitée. En particulier dans des environnements de travail difficiles, tels que les hautes températures ou les milieux corrosifs, les matériaux des courroies de transmission sont sujets au vieillissement, ce qui affecte leur durabilité.
Précision de transmission réduite : Les courroies de transmission offrent une précision de transmission inférieure à celle des transmissions par engrenages ou par chaînes. De ce fait, elles sont moins adaptées aux machines et équipements de haute précision, tels que les équipements à commande numérique, qui exigent une précision de transmission extrêmement élevée.
Étant donné la grande variété d'applications des courroies de transmission, existe-t-il des spécifications et des normes uniques pour chaque conception et utilisation ? Comment chaque secteur industriel et chaque machine choisit-il le type de courroie de transmission adapté à ses besoins spécifiques ?

2. Types et structures de base des courroies de transmission
Les courroies de transmission utilisées dans les applications industrielles se classent en différentes catégories selon leurs caractéristiques et leurs fonctions. Chaque type présente des avantages spécifiques et excelle dans des cas d'utilisation particuliers. Pour garantir le fonctionnement optimal de votre système mécanique, il est essentiel de comprendre les principaux types et la structure interne des courroies de transmission.
Basic types de courroies d'entraînement:
① Courroies plates :
Ceintures plates Les courroies plates sont parmi les types de courroies de transmission les plus simples et les plus anciens. Elles sont principalement utilisées dans les systèmes de transmission à basse vitesse et forte puissance. Grâce à leur grande surface de contact, elles sont performantes pour les transmissions longue distance et les applications à faible frottement. Cependant, leur faible adhérence limite leur utilisation dans les environnements à forte charge ; on les retrouve donc plus fréquemment dans l’industrie légère ou certaines machines agricoles simples.
② Courroies trapézoïdales :
Les courroies trapézoïdales sont parmi les courroies de transmission les plus utilisées dans les systèmes industriels et mécaniques. Leur section transversale en forme de V augmente efficacement la surface de contact avec la poulie, accroissant ainsi la friction et réduisant le glissement. Adaptées aux systèmes mécaniques à charges et vitesses moyennes, elles offrent un rendement de transmission élevé et sont couramment utilisées dans les moteurs automobiles, les équipements industriels et les machines agricoles.
③ Courroies trapézoïdales étroites :
Les courroies trapézoïdales étroites offrent une densité de puissance et un rendement supérieurs aux courroies trapézoïdales classiques grâce à une conception optimisée de leur section transversale. Leur section réduite leur permet non seulement de transmettre un couple plus élevé dans un espace restreint, mais aussi de s'adapter aux environnements de fonctionnement à haut régime. Ce type de courroie est largement utilisé dans les systèmes d'entraînement industriels à haut rendement et les transmissions automobiles.
④ Courroies de distribution :
Grâce à la conception de leur denture, les courroies de distribution s'alignent parfaitement avec les gorges des poulies, assurant une transmission précise et sans glissement. Elles répondent aux exigences de transmission de puissance de haute précision et sont couramment utilisées dans les équipements d'automatisation, les machines de précision et les moteurs automobiles. Leurs principaux avantages sont un fonctionnement silencieux, une grande précision de transmission et une synchronisation optimale de la puissance.
⑤ Courroies multi-nervures :
Les courroies multi-nervures sont composées de plusieurs nervures en forme de coin disposées parallèlement et sont adaptées aux hautes vitesses et aux faibles niveaux sonores. Cette conception réduit non seulement le bruit de fonctionnement, mais offre également un excellent rendement de transmission dans un espace réduit. Les courroies multi-nervures sont couramment utilisées dans les appareils électroménagers, les moteurs automobiles et certains équipements industriels à haut rendement.
⑥ Courroies trapézoïdales doubles / Courroies hexagonales :
La section hexagonale des courroies trapézoïdales double face leur permet de transmettre la puissance dans les deux sens simultanément, ce qui les rend idéales pour les systèmes mécaniques à transmission complexe. Les machines agricoles et les équipements industriels sont des applications courantes des courroies trapézoïdales double face, capables de répondre aux exigences de transmission de force bidirectionnelle tout en garantissant un fonctionnement fluide du système.

Composants des courroies d'entraînement :
Les performances d'une courroie de transmission dépendent non seulement de son type, mais aussi de sa composition. Les courroies de transmission sont généralement constituées de trois couches, chacune ayant un impact direct sur leur durabilité, leur rendement et leur durée de vie.
① Couche de couverture :
La couche extérieure, la plus externe de la courroie d'entraînement, est généralement composée de caoutchouc ou de matériau synthétique très résistant à l'abrasion. Sa fonction principale est de protéger la structure interne de la courroie contre les agressions extérieures. Cette couche résiste efficacement à l'usure mécanique, à la corrosion chimique et aux variations de température, et contribue grandement à prolonger la durée de vie de la courroie.
② Élément/noyau résistant à la traction :
L'âme, élément central de la courroie de transmission, est généralement constituée de matériaux haute résistance tels que le fil d'acier, le nylon ou la fibre de verre. Elle assure la résistance à la traction de la courroie et détermine sa flexibilité et sa résistance à la pression. Une âme de haute qualité garantit une transmission stable même sous fortes charges.
③ Couche de compression :
La couche de friction est située sur la face interne de la courroie et est en contact direct avec la poulie. Sa fonction principale est d'accroître la friction entre la courroie et la poulie afin d'assurer un fonctionnement stable de la courroie de transmission lors de la transmission de puissance. Cette couche de friction haute performance réduit efficacement le glissement, garantit une transmission de puissance optimale et prolonge la durée de vie de la courroie.
Chaque couche est conçue pour offrir durabilité et performance, notamment dans les applications industrielles à haute intensité où la conception structurelle de la courroie d'entraînement est cruciale.
Il est essentiel de comprendre le type et la construction des courroies de transmission, ce qui vous permettra également de prendre en compte les facteurs clés lors de leur sélection. Choisir la bonne courroie de transmission ne se limite pas à son type ; cela dépend aussi des besoins de l'équipement et de son environnement d'utilisation. Quels sont donc les facteurs essentiels à privilégier lors du choix d'une courroie de transmission ?

3. Facteurs clés dans le choix des courroies d'entraînement
Lors du choix des courroies de transmission, plusieurs facteurs doivent être pris en compte afin de garantir leur bon fonctionnement dans différents systèmes mécaniques. Un mauvais choix peut entraîner une baisse d'efficacité, un patinage de la transmission, voire une usure prématurée. Il est donc essentiel de bien comprendre les facteurs clés de sélection des courroies de transmission pour optimiser les performances globales de votre équipement. Voici quelques facteurs essentiels à privilégier lors du choix d'une courroie de transmission :
① Transmission du couple :
La fonction principale d'une courroie de transmission est de transmettre le couple. Il est donc important de tenir compte du couple requis par l'équipement lors de son choix. Si l'équipement doit transmettre un couple élevé, il convient d'opter pour une courroie plus résistante et présentant un coefficient de friction plus important. Par exemple, les courroies trapézoïdales sont performantes sous des charges modérées, tandis que les courroies trapézoïdales étroites et les courroies de distribution sont adaptées aux systèmes d'entraînement à couple et vitesse élevés.
② Vitesse de rotation :
La vitesse de rotation d'une courroie de transmission détermine son efficacité de transmission de puissance. Les équipements à grande vitesse nécessitent des courroies de transmission stables à haute vitesse de rotation afin d'éviter le patinage ou une usure prématurée. Par exemple, les courroies multi-nervures sont particulièrement performantes dans les équipements à grande vitesse grâce à leur flexibilité, tandis que les courroies de distribution conviennent aux systèmes d'entraînement de haute précision et à grande vitesse.
③ Distance centrale :
La longueur d'une courroie de transmission dépend de l'entraxe des poulies. Un entraxe trop court ou trop long peut influencer le choix de la courroie. Les systèmes à faible entraxe nécessitent généralement des courroies plus souples, tandis que les systèmes à fort entraxe requièrent des courroies plus résistantes à la traction et à l'usure, comme les courroies plates ou trapézoïdales.
④ Rapport de transmission :
Le rapport de transmission d'une courroie d'entraînement est un indicateur clé de son efficacité à transmettre la puissance à différentes vitesses. Un rapport de transmission élevé exige que la courroie maintienne une transmission de puissance stable à différentes vitesses. Les courroies trapézoïdales étroites sont adaptées aux applications nécessitant un rapport de transmission élevé en raison de leur forte densité de puissance.
⑤ Température et conditions environnementales :
L'environnement d'exploitation influe considérablement sur la durée de vie et les performances des courroies de transmission. En milieu à haute ou basse température, les matériaux utilisés doivent résister à des variations de température extrêmes. Par exemple, on utilise généralement du caoutchouc ou du silicone haute température dans les environnements industriels à haute température, tandis que les courroies en polyuréthane résistant au froid conviennent aux basses températures. De plus, les courroies de transmission doivent être résistantes à la corrosion, notamment dans les industries chimiques et agroalimentaires.
⑥ Capacité de charge :
Les exigences de charge varient selon les équipements. Les systèmes à forte charge nécessitent souvent des courroies d'entraînement plus résistantes à la charge et à l'abrasion afin de garantir un fonctionnement constant sur le long terme. Par exemple, les courroies trapézoïdales étroites et les courroies de distribution sont performantes sous forte charge, tandis que les courroies spaghetti conviennent aux équipements de charge moyenne.
⑦ Durabilité et entretien :
La durabilité et les coûts d'entretien des courroies de transmission sont des facteurs essentiels pour le bon fonctionnement à long terme des équipements. Des courroies de transmission de haute qualité permettent non seulement de réduire la fréquence d'entretien, mais aussi d'espacer les remplacements, diminuant ainsi les coûts d'exploitation globaux. Lors du choix d'une courroie de transmission, il convient d'opter pour un modèle très résistant à l'abrasion et facile d'entretien, en fonction de la fréquence d'utilisation et de l'environnement de l'équipement.
⑧ Niveau sonore :
Le bruit est un facteur essentiel dans certaines applications. Les courroies de transmission silencieuses sont souvent utilisées dans les équipements exigeant une maîtrise stricte du bruit en milieu de travail. Par exemple, les courroies synchrones ou les courroies spaghetti sont fréquemment employées dans les machines textiles et les équipements de transformation alimentaire pour réduire les niveaux de bruit.
Ces facteurs doivent être pris en compte lors du choix des courroies de transmission afin de garantir un fonctionnement efficace et stable de l'équipement dans différentes conditions de travail. Les différents types de courroies de transmission varient en termes de construction et de conception ; il est donc essentiel de bien comprendre les besoins spécifiques de l'équipement et les conditions d'utilisation pour faire un choix éclairé.
Négliger l'un des facteurs clés lors du choix d'une courroie de transmission peut entraîner un fonctionnement inefficace du système d'entraînement. Qu'il s'agisse de la charge, de la vitesse ou des conditions de fonctionnement, choisir une courroie adaptée aux besoins de votre équipement garantira des performances optimales.

4. Sélection des matériaux : matériaux adaptés aux différentes conditions de travail
Le choix du matériau approprié est incontestablement un facteur clé qui influe considérablement sur les performances des courroies de transmission. Les exigences en matière de matériaux varient selon l'environnement de travail, la charge et la transmission. Un mauvais choix peut entraîner une courroie incapable de supporter la charge de l'équipement, une usure prématurée ou une défaillance en conditions extrêmes. Par conséquent, la compréhension des caractéristiques de chaque matériau et de ses applications est essentielle pour garantir un fonctionnement optimal des courroies de transmission.
Matériaux courants pour courroies d'entraînement
① Caoutchouc :
Le caoutchouc est l'un des matériaux les plus couramment utilisés pour les courroies de transmission. Il se caractérise par une excellente élasticité et une grande résistance à l'abrasion. Le caoutchouc naturel convient aux températures et aux charges modérées et est fréquemment utilisé dans les machines industrielles et les transmissions automobiles. Dans des environnements plus extrêmes, les caoutchoucs synthétiques comme le néoprène et le silicone offrent de meilleures performances. Le néoprène est largement utilisé dans l'industrie automobile en raison de son excellente résistance aux hautes températures et aux produits chimiques. Un autre avantage des matériaux en caoutchouc est leur capacité à maintenir une transmission stable sous fortes charges, ce qui en fait le matériau de prédilection pour de nombreuses applications industrielles.
② Polyuréthane :
Le polyuréthane est couramment choisi pour les applications exigeant une grande résistance et une précision élevée dans les transmissions, grâce à son excellente résistance à l'abrasion et aux huiles. Les matériaux en polyuréthane présentent une excellente résistance aux basses températures et sont donc largement utilisés dans les équipements frigorifiques, l'industrie agroalimentaire et l'industrie pharmaceutique. De plus, leur grande résistance aux produits chimiques et aux graisses les rend particulièrement adaptés aux environnements humides ou huileux. Les courroies de distribution en polyuréthane sont largement utilisées dans les systèmes de transmission de précision car leur structure de dents assure une transmission de haute précision sans glissement.
③ Nylon :
Le nylon est une autre option pour les courroies de transmission et est couramment utilisé dans les machines de petite et moyenne taille en raison de sa légèreté, de sa flexibilité et de sa haute résistance à la traction. Les courroies de transmission en nylon sont généralement utilisées dans les équipements exigeant une grande flexibilité et des vitesses de transmission rapides, comme dans les machines textiles et d'emballage. Le nylon présente une bonne résistance à la fatigue, ce qui le rend adapté à un fonctionnement fréquent des équipements et permet de réduire efficacement le risque de rupture par fatigue des courroies de transmission.
④ Cordon d'acier ou fibre de verre :
Dans les systèmes de transmission à haute résistance et à forte charge, on utilise souvent du fil d'acier ou de la fibre de verre comme matériau d'âme. Ces matériaux à haute résistance confèrent d'excellentes propriétés de traction aux courroies de transmission. Par exemple, les courroies de transmission à âme en acier sont largement utilisées dans les mines et l'industrie lourde, où elles peuvent supporter des forces de traction et des couples extrêmes et maintenir des performances stables sur de longues périodes. La fibre de verre, quant à elle, est à la fois résistante et légère, et est souvent utilisée dans les équipements industriels légers pour éviter que la courroie ne s'allonge à haute vitesse.
⑤ Téflon :
Le téflon est un matériau haute performance, résistant aux hautes températures et aux produits chimiques, souvent utilisé pour les courroies de transmission dans des environnements à températures extrêmes. Grâce à ses excellentes propriétés autolubrifiantes, les courroies en PTFE sont fréquemment employées dans les équipements exigeant un faible frottement et une haute résistance à la chaleur, tels que les séchoirs, les équipements chimiques et les fours industriels à haute température. Bien que plus onéreux, ce matériau est irremplaçable pour sa durabilité et sa stabilité dans ces applications spécifiques.
Sélection des matériaux et scénarios d'application
En fonction des conditions de fonctionnement, le choix du matériau de la courroie de transmission doit être adapté à l'environnement. Par exemple, les courroies destinées à des environnements à haute température doivent être fabriquées dans des matériaux résistants aux hautes températures tels que le néoprène ou le PTFE, tandis que les courroies en polyuréthane et en nylon sont plus avantageuses dans les environnements froids et humides. Pour les équipements lourds soumis à des couples et des charges élevés, les courroies à âme en acier ou en fibre de verre sont les plus appropriées.
Vous trouverez ci-dessous une analyse de plusieurs scénarios d'application courants et des matériaux applicables :
① Environnements à haute température :
Dans les applications à haute température, les courroies de transmission doivent résister à la chaleur tout en conservant leurs propriétés physiques. Des matériaux comme le néoprène, le silicone et le PTFE sont largement utilisés en métallurgie, dans les équipements de séchage et sur les lignes de production à haute température pour leur excellente résistance à la chaleur.
② Environnements à basse température ou à température glaciale :
Les matériaux en polyuréthane et en nylon sont fréquemment utilisés dans les environnements à basse température, notamment pour les chaînes du froid alimentaire et les équipements frigorifiques, en raison de leur résistance au froid. Le polyuréthane est particulièrement performant dans les lignes de production de produits surgelés, garantissant un fonctionnement fluide et efficace à basse température.
③ Environnements chimiques et humides :
Les courroies de transmission en polyuréthane sont particulièrement performantes dans les environnements exigeant une résistance aux produits chimiques et aux graisses. Leur résistance aux produits chimiques et aux huiles en fait l'un des matériaux les plus couramment utilisés dans les équipements chimiques, les usines agroalimentaires et l'industrie pharmaceutique.
④ Équipements à forte charge et d'exploitation minière :
Les courroies d'entraînement à âme d'acier supportent les charges importantes des équipements lourds grâce à leur haute résistance à la traction et sont particulièrement adaptées aux applications exigeantes telles que les secteurs minier et métallurgique. Les matériaux en fibre de verre, quant à eux, conviennent à certains équipements industriels légers fonctionnant à couple élevé et sous charge soutenue, offrant une bonne résistance à la traction et une grande durabilité.
Chaque matériau présente des avantages et des inconvénients spécifiques, et le choix du matériau adapté aux conditions de fonctionnement de l'équipement permet d'améliorer efficacement la durée de vie et le rendement de transmission de la courroie d'entraînement. Ainsi, une sélection rigoureuse des matériaux garantit un fonctionnement stable et durable de l'équipement.

5. Besoins spécifiques et cas d'application dans différents secteurs d'activité
Les besoins en courroies de transmission varient selon les secteurs industriels, et les applications spécifiques imposent des exigences différentes quant à leurs caractéristiques. Qu'il s'agisse de charges élevées, de contrôles de précision ou d'applications à haute température et résistance à la corrosion, chaque secteur a ses propres normes et spécifications de performance pour les courroies de transmission. Comprendre les besoins spécifiques et les réussites des différents secteurs vous permettra de faire des choix plus ciblés lors de la sélection et de l'optimisation de vos équipements.
① Industrie de transformation alimentaire
Les normes d'hygiène strictes de l'industrie agroalimentaire imposent des exigences élevées aux courroies de transmission. Dans ce secteur, ces courroies doivent non seulement transmettre la puissance, mais aussi garantir l'absence de contamination des aliments. Les courroies de transmission de qualité alimentaire sont généralement fabriquées en polyuréthane ou en Viton®, des matériaux résistants aux produits chimiques et capables de fonctionner de manière stable même en milieu humide. Leur conception privilégie la facilité de nettoyage et leurs propriétés antimicrobiennes afin de garantir le respect des normes d'hygiène élevées de l'industrie agroalimentaire.
② Industrie minière et lourde
Dans les secteurs minier et de l'industrie lourde, les équipements sont souvent soumis à des charges élevées et à des conditions de travail difficiles. L'utilisation de courroies de transmission à âme en acier est essentielle pour relever ces défis. Les machines minières doivent conserver une capacité de charge et une durabilité élevées sur de longues périodes d'utilisation ; la robustesse et la résistance à l'abrasion des courroies de transmission à âme en acier en font le choix idéal. Ces courroies excellent dans les équipements lourds, supportant des charges élevées dans des environnements difficiles tout en réduisant la fréquence de maintenance.
③ Industrie textile
Les vitesses élevées des machines textiles exigent que les courroies de transmission soient extrêmement flexibles et résistantes à l'usure. Contrairement à d'autres secteurs, les courroies de transmission dans l'industrie textile doivent être lisses et sans glissement, même à haute vitesse. Les courroies en nylon et en polyuréthane sont idéales pour les équipements textiles grâce à leur conception légère et flexible. Elles résistent à la friction sur de longues périodes tout en maintenant une transmission précise à haute vitesse.
④ Logistique et automatisation
Dans les systèmes logistiques modernes et les lignes de production automatisées, les courroies d'entraînement sont indispensables non seulement pour un transfert rapide des matériaux, mais aussi pour garantir précision et fiabilité. Les courroies d'entraînement synchrones excellent dans ces systèmes d'automatisation à haute efficacité grâce à leur capacité à fonctionner sans glissement. Dotées d'une structure d'engrenage précise, elles assurent un transfert précis des matériaux dans les systèmes automatisés d'entreposage et de transport, et garantissent un fonctionnement optimal. L'exigence de haute précision et de faible marge d'erreur du secteur de la logistique explique la généralisation de l'utilisation des courroies d'entraînement synchrones.
⑤ Industrie pharmaceutique
À l'instar de l'industrie agroalimentaire, l'industrie pharmaceutique exige des normes d'hygiène très strictes pour les courroies de transmission. Ces dernières doivent résister aux produits chimiques et être utilisées en milieu stérile. Les courroies en polyuréthane et en PTFE sont largement utilisées dans les équipements pharmaceutiques en raison de leur résistance chimique et de leur stérilité. Elles garantissent une transmission précise tout en restant propres et exemptes de contamination, même dans les environnements de production les plus exigeants.
Les besoins en courroies de transmission varient d'un secteur industriel à l'autre, et le succès de ces applications témoigne de l'importance de choisir la courroie adaptée. De l'agroalimentaire à l'industrie pharmaceutique, le choix des courroies de transmission appropriées pour vos équipements améliore non seulement la productivité, mais garantit également une stabilité à long terme. Avec les progrès technologiques, l'utilisation des courroies de transmission dans divers secteurs se généralisera et se spécialisera.

6. Éléments à prendre en compte lors de l'achat
Choisir et acheter les courroies de transmission appropriées est essentiel pour garantir le bon fonctionnement de l'équipement. Lors de l'approvisionnement, outre la définition précise des besoins de l'équipement, il est important de prendre en compte divers facteurs tels que la réputation du fournisseur, les conditions contractuelles et les éventuels coûts cachés. Ces considérations permettent non seulement aux acheteurs d'éviter les risques potentiels, mais aussi de garantir une transmission optimale en conditions réelles d'utilisation.
① Définir les exigences en matière d'équipement
Avant d'acheter des courroies de transmission, il est primordial de bien cerner les besoins spécifiques de l'équipement, notamment la charge qu'elles doivent supporter, la vitesse de fonctionnement et l'environnement d'utilisation. Pour plus de détails, veuillez consulter le texte ci-dessus. Les exigences en matière de courroies de transmission varient selon les équipements. Par exemple, un équipement soumis à des charges élevées nécessite une courroie à âme en fil d'acier ou en un autre matériau haute résistance, tandis qu'un système fonctionnant à grande vitesse privilégiera une courroie synchrone. Ce choix est crucial et détermine directement si les courroies achetées répondront aux besoins à long terme de l'équipement, voire si le bon fonctionnement de ce dernier sera possible.
② Réputation du fournisseur
Choisir des fournisseurs réputés permet de réduire les risques liés à l'approvisionnement. Durant les deux premières années, en raison de la pandémie de COVID-19, de nombreux acheteurs n'ont pas pu inspecter les fournisseurs sur place, ce qui a considérablement affecté les acheteurs victimes d'escroqueries. Cependant, la qualification du fournisseur, les avis des clients précédents et la garantie de la qualité des produits qu'il propose sont des éléments essentiels à prendre en compte lors d'un achat. Les fournisseurs de confiance proposent non seulement des courroies de transmission de haute qualité, mais assurent généralement un service après-vente réactif afin de résoudre rapidement les problèmes d'équipement. Par ailleurs, l'expérience du fournisseur dans le secteur et ses compétences en matière de support technique constituent également des facteurs importants dans la décision d'achat. Idéalement, il est préférable de visiter l'usine du fournisseur ; ainsi, en cas de problème avec les marchandises, vous pourrez localiser son usine et le contacter facilement.
③ Conditions contractuelles
Le contrat d'achat est un document juridique essentiel pour protéger les droits et intérêts des acheteurs. Ces dernières années, afin de minimiser les complications ou par commodité pour le commerce international, de nombreuses commandes sont passées sous forme de facture pro forma (PI) plutôt que de contrat. Or, la PI ne saurait remplacer un contrat ; il est donc recommandé de signer également un contrat formel. Ce dernier doit clairement préciser les spécifications des courroies de transmission, la date de livraison, le prix, le service après-vente et les autres conditions essentielles. Il convient d'accorder une attention particulière au fait que le contrat doit définir les conditions de service après-vente des courroies de transmission, afin de garantir la protection des droits et intérêts en cas de problème de qualité du produit. Les acheteurs doivent également s'assurer que les termes du contrat sont justes et raisonnables, afin d'éviter tout litige.
④ Coûts cachés
Lors de l'achat de courroies de transmission, il est essentiel de prendre en compte non seulement le prix d'achat initial, mais aussi les coûts cachés potentiels. Les frais de transport et d'installation, ainsi que les coûts futurs de maintenance et de remplacement, représentent des dépenses importantes souvent négligées, notamment pour les produits en caoutchouc. Si le volume d'achat reste faible, les frais de livraison peuvent paraître minimes, mais pour des quantités plus importantes, le poids des courroies peut s'avérer imprévu. Choisir une courroie de mauvaise qualité entraînera une augmentation de la fréquence des interventions de maintenance et de remplacement, engendrant des coûts supplémentaires inutiles pour l'entreprise. Par conséquent, l'achat doit privilégier une approche globale du rapport qualité-prix afin d'éviter des dépenses ultérieures importantes dues à une recherche du moindre coût.
⑤ Cycle d'approvisionnement et stocks
Pour certains équipements nécessitant un fonctionnement prolongé, la livraison rapide et un stock suffisant sont essentiels à la fluidité de la production. Lors de l'achat de courroies de transmission, les clients doivent se tenir informés du cycle d'approvisionnement du fournisseur afin de garantir un accès rapide aux courroies nécessaires. Par ailleurs, la capacité de stockage du fournisseur influe également sur la réactivité de l'entreprise en matière de maintenance des équipements. En particulier en cas d'urgence, une livraison rapide permet de réduire considérablement les temps d'arrêt de production.
⑥ Produits contrefaits
De nombreuses courroies de transmission contrefaites circulent sur le marché. Leurs prix attractifs attirent souvent les acheteurs, mais leur qualité n'est jamais garantie. Il est donc important d'être vigilant face aux produits à prix anormalement bas, surtout si l'écart avec le prix moyen du marché est trop important. Dans ce cas, il convient de vérifier scrupuleusement l'authenticité du produit. Pour éviter d'acheter des contrefaçons, les acheteurs peuvent exiger des fournisseurs les certifications de qualité et les rapports de tests pertinents, et privilégier les circuits de distribution officiels.
⑦ Assistance technique et formation
Dans le commerce international, il est primordial d'établir des services d'assistance technique et de formation avec les fournisseurs, notamment lors de l'achat de composants clés tels que les courroies de transmission. L'assistance technique peut considérablement améliorer l'efficacité du fonctionnement des équipements. Notre propos ici concerne non seulement l'assistance technique destinée à répondre aux questions que l'acheteur pourrait rencontrer lors de l'utilisation du produit, mais aussi son accompagnement au quotidien, notamment en matière de maintenance, afin d'optimiser son utilisation.
Lors du processus d'approvisionnement, les acheteurs doivent prendre en compte divers facteurs tels que les exigences de l'équipement, la réputation du fournisseur, les conditions contractuelles et les coûts cachés afin de garantir que les courroies d'entraînement achetées répondent aux exigences opérationnelles de l'équipement et présentent un excellent rapport qualité-prix. En choisissant les bons fournisseurs et les bons produits, les entreprises peuvent réduire les coûts de maintenance et les temps d'arrêt liés à un approvisionnement inapproprié, assurant ainsi le fonctionnement stable et durable de l'équipement.

7. Directives d'installation et d'entretien de la courroie d'entraînement
Même en choisissant les courroies d'entraînement appropriées, des erreurs d'installation ou d'entretien peuvent entraîner une baisse d'efficacité de l'équipement, une usure prématurée des courroies ou une panne du système. Par conséquent, une installation correcte et un entretien régulier sont essentiels pour garantir la longévité de vos courroies d'entraînement. Voici quelques informations supplémentaires : un guide détaillé Nous assurons l'installation et l'entretien des courroies de transmission afin de garantir le bon fonctionnement et la longévité de vos équipements. Ceci concerne uniquement les produits standards ; veuillez contacter l'entreprise pour connaître les spécifications particulières de vos produits.
① Réglage correct de la tension
La tension d'une courroie de transmission influe directement sur ses performances et sa durée de vie. Une tension excessive ou insuffisante peut entraîner une usure prématurée de la courroie et une réduction du rendement de la transmission. Les courroies de transmission doivent être installées avec un réglage de tension approprié. Des courroies trop tendues augmentent la friction et accélèrent l'usure entre la courroie et la poulie, tandis que des courroies trop lâches ont tendance à patiner et réduisent le rendement de la transmission. Par conséquent, un tensiomètre peut être utilisé lors de l'installation pour s'assurer que la tension de la courroie de transmission est correcte.
Il convient de vérifier régulièrement la tension de la courroie d'entraînement, car une utilisation prolongée peut entraîner son relâchement. Si la courroie patine ou fait du bruit, c'est généralement le signe d'une tension insuffisante, qu'il faut alors ajuster immédiatement. Une tension correcte prolonge la durée de vie des courroies et garantit le bon fonctionnement de l'équipement.
② Importance de l'alignement
Afin d'éviter une usure excessive des bords des courroies d'entraînement, l'alignement entre ces dernières et les poulies doit être précis. Un système d'entraînement mal aligné provoque une inclinaison de la courroie en fonctionnement, ce qui accroît son usure et réduit sa durée de vie. Pour garantir un alignement correct des courroies d'entraînement, il est recommandé d'utiliser des outils spécifiques afin d'assurer leur parallélisme avec les poulies.
Les problèmes d'alignement affectent non seulement la durée de vie de la courroie d'entraînement, mais réduisent également l'efficacité de l'ensemble de la transmission. Une transmission mal alignée augmente la consommation d'énergie de l'équipement et peut engendrer des bruits et des vibrations indésirables. Par conséquent, la vérification régulière de l'alignement de la transmission est une opération de maintenance essentielle.
③ Entretien et inspection de routine
Pour prolonger la durée de vie des courroies d'entraînement, un entretien et une inspection réguliers sont indispensables. Il convient de les inspecter régulièrement afin de détecter tout signe d'usure, de fissure ou autre dommage. Au moindre signe d'anomalie, les courroies d'entraînement doivent être remplacées immédiatement pour éviter toute panne du système.
L'entretien courant doit également comprendre le nettoyage de la courroie d'entraînement afin d'éviter l'accumulation de poussière, d'huile et autres contaminants, et de prévenir tout dommage à la couche de friction et à l'âme de la courroie. De plus, la couche de friction entre la courroie et la poulie doit rester sèche pendant l'utilisation afin d'éviter une réduction du rendement de la transmission due au patinage.
Pour les courroies de transmission de haute précision, telles que les courroies multi-galets et les courroies synchrones, une inspection plus approfondie est nécessaire. En particulier pour les courroies synchrones, un problème d'engrènement entre les pignons peut entraîner une mauvaise transmission et, dans les cas les plus graves, l'arrêt de la machine. Un contrôle régulier de l'usure du système de transmission permet de détecter les problèmes potentiels en amont et de prendre les mesures nécessaires pour éviter des pannes plus importantes.
④ Remplacement et stockage de la courroie d'entraînement
Les courroies d'entraînement s'usent avec le temps, même avec un bon entretien ; leur remplacement est donc une opération incontournable de la maintenance courante. Lors du remplacement, il est impératif d'utiliser une courroie d'origine correspondant au modèle et aux spécifications de l'équipement afin de garantir une transmission efficace et une bonne stabilité. Par conséquent, si le remplacement de la courroie d'origine n'est pas nécessaire, il est généralement déconseillé de la changer. Si, pour une raison ou une autre, vous devez changer la courroie d'origine, assurez-vous que le nouveau fournisseur respecte les paramètres, les matériaux, etc. requis.
Par ailleurs, les conditions de stockage des courroies d'entraînement sont tout aussi importantes. Les courroies d'entraînement non utilisées doivent être stockées dans un endroit frais et sec, à l'abri de la lumière directe du soleil, des températures élevées et de l'humidité. Il convient d'éviter tout contact des courroies d'entraînement avec de la graisse, des produits chimiques ou d'autres substances corrosives pendant le stockage afin de prévenir leur détérioration.
⑤ Inspection et enregistrement réguliers
Afin de garantir le bon fonctionnement à long terme de la courroie d'entraînement, il est indispensable de tenir un registre d'entretien détaillé. Chaque intervention de maintenance et d'inspection doit consigner l'utilisation, l'usure et le réglage de la tension de la courroie. Ces données permettent d'anticiper les intervalles de remplacement et d'adapter le programme de maintenance aux conditions d'utilisation de l'équipement.
En mettant en place un processus régulier de maintenance et d'inspection, les entreprises peuvent réduire efficacement les temps d'arrêt des équipements et minimiser les interruptions de production dues aux défaillances des courroies de transmission. Les données enregistrées permettent également aux techniciens d'évaluer l'état général de la transmission et d'effectuer la maintenance préventive nécessaire afin d'éviter les pannes soudaines.
En suivant ces instructions d'installation et d'entretien, vous prolongerez considérablement la durée de vie de vos courroies de transmission et assurerez un fonctionnement optimal de votre chaîne cinématique. Un réglage correct de la tension, des contrôles d'alignement et un entretien régulier sont essentiels au bon fonctionnement de l'équipement. Le remplacement régulier et le stockage approprié des courroies sont également des mesures importantes pour prolonger leur durée de vie. Un processus d'entretien standardisé permet non seulement de réduire les temps d'arrêt, mais aussi de diminuer les coûts d'exploitation à long terme.

8. Caractère critique et importance du service après-vente pour les courroies d'entraînement
La stabilité et la durée de vie des courroies d'entraînement sont essentielles à l'efficacité de l'ensemble du système de production. Choisir les courroies adaptées est la première étape pour garantir le bon fonctionnement des équipements, tandis qu'un service après-vente performant assure la maintenance à long terme des équipements et le fonctionnement continu des courroies. Qu'il s'agisse d'assistance à l'installation, de services de maintenance ou de personnalisation des produits, un système de service après-vente complet permet de réduire considérablement les temps d'arrêt des équipements et d'assurer la continuité des activités de l'entreprise.
① Importance de la garantie et de la période de garantie
Lors de l'achat de courroies de transmission, il est essentiel de porter une attention particulière aux conditions de garantie. Celles-ci précisent généralement la durée de la garantie sous certaines conditions d'utilisation. La durée de la garantie est non seulement un indicateur de la qualité du produit, mais aussi un élément important pour la maîtrise des coûts de maintenance.
Les courroies d'entraînement assorties d'une période de garantie raisonnable permettent aux entreprises de réduire les risques de dommages accidentels. En cas de problème de qualité, elles peuvent bénéficier d'une réparation ou d'un remplacement gratuit grâce au service après-vente. Pour un fonctionnement prolongé des équipements à charge élevée, ces conditions constituent des mesures de protection essentielles.
② Guide d'installation et assistance technique
Dans de nombreux cas, la pose correcte des courroies de transmission nécessite une assistance technique spécialisée. Le fournisseur doit fournir des instructions de pose détaillées et des services de conseil technique afin de garantir une utilisation optimale des courroies dans l'équipement. Une pose incorrecte peut entraîner une usure prématurée, un glissement, voire une rupture de la courroie ; l'assistance technique du fournisseur est donc essentielle au bon fonctionnement du système de transmission.
L'assistance technique ne se limite pas à la phase d'installation, mais doit également inclure des services de conseil technique pendant l'exploitation de l'équipement. Le fournisseur doit répondre rapidement à tout problème rencontré par l'acheteur, notamment en cas d'usure anormale ou d'autres problèmes concernant la courroie d'entraînement, et être en mesure de proposer des solutions adaptées.
③ Services d'entretien et de remplacement
Les courroies d'entraînement, en tant que pièces d'usure, nécessitent un entretien et un remplacement réguliers. Un service après-vente performant doit assurer des prestations d'entretien et d'inspection régulières afin de garantir le fonctionnement optimal du système de transmission. Le fournisseur doit être en mesure d'assurer le remplacement des courroies en cas de besoin, notamment pour certains modèles spéciaux ou sur mesure ; un approvisionnement et un remplacement rapides sont alors essentiels.
Les services de maintenance visent à prévenir les problèmes potentiels et à réduire les risques d'arrêt de production en contrôlant et en ajustant régulièrement la tension, l'alignement et l'usure des courroies de transmission. Pour les courroies de transmission de haute précision, telles que les courroies multi-galets et les courroies synchrones, les exigences de maintenance sont encore plus élevées et le fournisseur doit posséder l'expertise technique appropriée.
④ Solutions personnalisées
Avec l'évolution des technologies de production, les besoins des entreprises en matière de courroies de transmission évoluent constamment. Les fournisseurs doivent être en mesure de proposer des solutions sur mesure, adaptées aux exigences spécifiques de leurs clients. Différents types d'équipements ou environnements de production particuliers peuvent nécessiter des matériaux ou des conceptions spécifiques pour les courroies de transmission. Les fournisseurs doivent donc pouvoir personnaliser leurs produits afin de garantir une parfaite adéquation des courroies aux besoins opérationnels des équipements.
Les services personnalisés permettent non seulement d'améliorer l'efficacité des équipements, mais aussi, en fonction des scénarios d'application spécifiques du client, de fournir des solutions adaptées aux conditions particulières de la courroie d'entraînement, aidant ainsi les entreprises à optimiser leur processus de production et à réduire leurs coûts d'exploitation à long terme.
⑤ Programme de maintenance préventive
La maintenance préventive est un service essentiel qui permet aux entreprises d'anticiper les problèmes potentiels de leurs équipements et d'éviter les pannes soudaines. En collaborant avec un fournisseur, elles peuvent élaborer un programme de maintenance préventive détaillé pour inspecter et évaluer régulièrement les courroies de transmission. Ce programme comprend généralement le réglage de la tension, le contrôle de l'alignement et la surveillance régulière de l'usure des courroies.
La maintenance préventive contribue à prolonger la durée de vie des courroies de transmission, évitant ainsi les arrêts de production inutiles et permettant à l'entreprise de réaliser d'importantes économies sur les coûts de réparation. Ce service est particulièrement adapté aux environnements d'exploitation intensifs et garantit le maintien en parfait état de fonctionnement des équipements, même lors d'une utilisation prolongée.

9. Foire aux questions (FAQ) concernant l'approvisionnement en courroies d'entraînement
L'achat et l'utilisation de courroies de transmission soulèvent souvent des questions techniques. Afin d'aider les clients à mieux choisir et utiliser leurs courroies de transmission, voici une liste de questions fréquentes et leurs réponses.
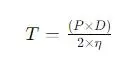
Le calcul de la tension de la courroie d'entraînement doit tenir compte de la charge, du couple, de la vitesse et du frottement de l'équipement. Vous pouvez vous référer à la formule suivante pour le calcul :

T représente la tension de la courroie d'entraînement (en Newtons), et
P représente la puissance requise en watts ou en kilowatts, et
D est le diamètre de la poulie motrice en mètres.
η représente l’efficacité du système, généralement comprise entre 0.9 et 0.98.
Cette formule permet de calculer la tension théorique, mais aussi de la mesurer sur place à l'aide d'un outil tel qu'un tensiomètre afin de s'assurer qu'elle répond aux exigences de l'équipement.
Un mauvais alignement des courroies d'entraînement peut accélérer leur usure et réduire leur rendement. Pour un alignement optimal, il est recommandé d'utiliser un outil d'alignement laser afin de garantir la précision de l'angle entre la courroie et la poulie. Un contrôle régulier de l'alignement permet de réduire efficacement la déformation de la courroie et l'usure prématurée, augmentant ainsi sa durée de vie et le rendement de transmission de l'équipement.
Une rotation à grande vitesse provoque des vibrations de la courroie d'entraînement, ce qui réduit le rendement de la transmission. Pour minimiser ces vibrations, choisissez une courroie d'entraînement à haute tension et assurez-vous que les poulies sont rondes et équilibrées. Une tension de courroie insuffisante ou une excentricité importante des poulies peuvent engendrer des vibrations du système. Contrôlez régulièrement la tension de la courroie d'entraînement et remplacez-la si nécessaire en cas d'usure ou de déformation afin de garantir un fonctionnement optimal.
Le choix du matériau de la courroie d'entraînement est particulièrement important dans des conditions de températures extrêmes. À haute température, les courroies revêtues de silicone ou de téflon offrent une excellente résistance à la chaleur ; à basse température, le polyuréthane et le caoutchouc résistant au froid sont de bons choix. En choisissant le matériau adapté à la plage de températures de fonctionnement de votre équipement, vous garantissez un fonctionnement stable et efficace, même dans des environnements extrêmes.
La durée de vie d'une courroie de transmission dépend non seulement des conditions d'utilisation de l'équipement, mais aussi du matériau de la courroie et de son entretien. En adoptant une stratégie de maintenance préventive et en contrôlant régulièrement l'usure, les entreprises peuvent anticiper le moment opportun pour remplacer les courroies. L'utilisation d'outils de surveillance permettant d'enregistrer les variations de tension, les niveaux d'usure et les points de fatigue permet de mieux maîtriser l'état des courroies et d'éviter les arrêts de production coûteux.
10. Résumé
Les courroies de transmission sont peut-être moins médiatisées que d'autres composants des équipements industriels, mais elles jouent un rôle essentiel dans le bon fonctionnement du système. Avec des courroies de transmission adaptées, l'équipement se comporte comme un « moteur » fiable, à la fois plus efficace et beaucoup plus stable.
Pour répondre aux besoins spécifiques de chaque secteur industriel, les courroies de transmission sont conçues pour des applications particulières. Qu'il s'agisse de températures extrêmes ou de charges rotatives à grande vitesse, le choix du matériau et du type appropriés est essentiel au bon fonctionnement de vos équipements. Par ailleurs, un entretien et des réglages réguliers permettent d'assurer la longévité et l'efficacité de vos courroies de transmission, réduisant ainsi les temps d'arrêt dus aux pannes.
Lorsque vous vous approvisionnez en courroies de transmission, trouver un fournisseur fiable, c'est comme trouver un allié de confiance. Non seulement il peut vous aider à relever vos défis immédiats, mais il peut également vous apporter un soutien continu pour le fonctionnement futur de vos équipements. Qu'il s'agisse d'une solution sur mesure ou d'une collaboration à long terme, assurez-vous que votre ligne de production soit toujours en parfait état de marche.
Les courroies d'entraînement, bien que paraissant simples, sont essentielles au bon fonctionnement de l'ensemble du monde industriel. Un usage et un entretien adéquats contribuent naturellement à l'augmentation de la productivité de votre entreprise.

















